| 일 | 월 | 화 | 수 | 목 | 금 | 토 |
|---|---|---|---|---|---|---|
| 1 | 2 | 3 | 4 | 5 | 6 | 7 |
| 8 | 9 | 10 | 11 | 12 | 13 | 14 |
| 15 | 16 | 17 | 18 | 19 | 20 | 21 |
| 22 | 23 | 24 | 25 | 26 | 27 | 28 |
| 29 | 30 | 31 |
- can
- 아마존 웹 서비스
- 암호화폐
- 자동매매
- 임베디드
- 클라우드
- Cloud
- GeorgiaTech
- 블록체인
- realtimesystem
- 프로그래밍
- 자동차sw
- 실시간시스템
- 토플
- AWS
- 토플 라이팅
- 개발자
- python
- TOEFL
- 오토사
- it
- probability
- 확률
- 비트코인
- toefl writing
- backtrader
- AUTOSAR
- 파이썬
- 백트레이더
- 퀀트
- Today
- Total
Leo's Garage
Probability and Statistics III: A Gentle Introduction to Statistics - 3 본문
Probability and Statistics III: A Gentle Introduction to Statistics - 3
LeoBehindK 2024. 1. 28. 13:20Geometric and Negative Binomial Distributions

Geometric Distribution은 첫 성공이 나올 때까지 하는 시도에 대한 확률 분포이다.
따라서 성공할 확률은 p이고 실패할 확률은 q, 1-p이다.

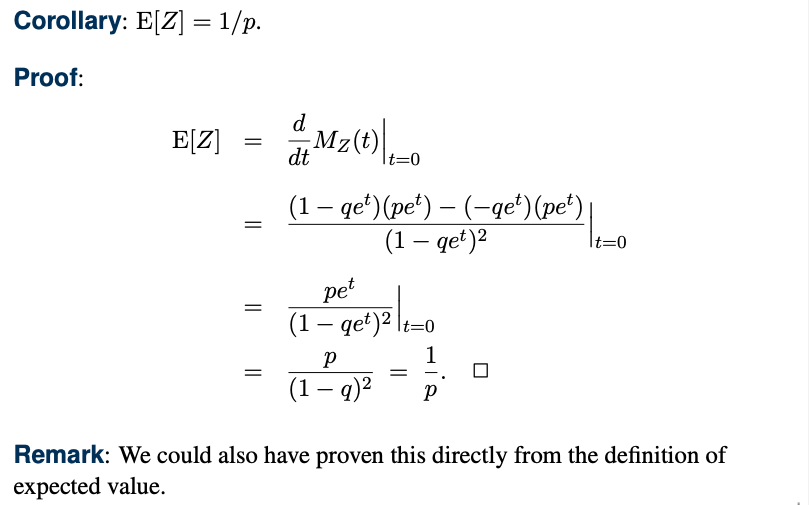
mgf는 위와 같이 X 대신에 E^tx를 대입했을 때의 기대값을 의미한다.
mgf는 어떤 pmf, pdf 외에 어떤 확률 분포의 특징을 가늠할 수 있는 지표 중의 하나이다.

mgf의 1차 미분값은 기대값이다.
그에 대한 증명은 위와 같다.

2차 미분은 분산과 같다 .
그래서 mgf를 구하면 이 확률 분포에 대한 여러가지 성질을 구할 수 있다.

s만큼 시간이 지난 후에 t만큼 더 지났을 때 확률과 t만큼 지났을 때 확률이 갔다는 것은 과거의 사건이 미래에 영향을 주지 않는다는 것과 같다.
무기억성이라고 하는 특징이다.
가령 전기차를 타고 운전하는데 이미 200km를 왔고 500km를 무사히 갈 수 있는 확률과 그냥 500km를 무사히 갈 확률이 같다는 것이다.
이전 사건을 기억하지 못하는 것 이것이 무기억성이다.
Geometric Distribution은 이산 분포 중에서 이 무기억성 특징을 가지고 있다.

t번 연속으로 실패할 확률에 대해서 구한다.
Bernoulli 분포로 생각하면 실패할 확률 q^t 이다.
앞 서 이야기한대로 조건부 확률을 구해보자.
조건 부 확률의 수식을 구해보면, s까지의 확률은 분모, 분자에 동일하게 있기 때문에 서로 소거되므로 앞 서 구한 확률과 동일하다.

앞 서 말한 것과 같이 어떤 사건이 앞에 발생한 것과 관계없이 현재 시점부터 계산하면 된다.
따라서 2번 더 실패해야 하므로 위와 같이 결과를 계산할 수 있다.
Geometric Distribution은 유일하게 이산 분포 중에서 무기억성 특징을 가지는 분포이다.

Negative Binomial Distribution은 r번 성공할 때까지 시도하는 횟수(W)에 대한 확률 변수이다.
여기서 p가 성공할 확률이다.

W = iid인 Z의 합이다.
여기서 iid는 independent and identically distribution인데 바로 같은 확률분포를 가지며 서로 독립인 분포들을 의미한다.
iid인 Geometric 확률분포들의 합이 바로 NegBin 확률분포와 동일하다는 것이다.

NegBin 분포의 pmf를 구하면 위와 같다.
즉, k-1번째까지 r-1번 성공할 확률에 다시 성공할 확률을 곱하는 것이다.

Binomaial과 NegBin의 관계는 위와 같다.
