| 일 | 월 | 화 | 수 | 목 | 금 | 토 |
|---|---|---|---|---|---|---|
| 1 | 2 | 3 | 4 | |||
| 5 | 6 | 7 | 8 | 9 | 10 | 11 |
| 12 | 13 | 14 | 15 | 16 | 17 | 18 |
| 19 | 20 | 21 | 22 | 23 | 24 | 25 |
| 26 | 27 | 28 | 29 | 30 |
- 확률
- 자동매매
- 클라우드
- realtimesystem
- it
- 블록체인
- GeorgiaTech
- 개발자
- 퀀트
- 토플 라이팅
- backtrader
- AWS
- python
- 백트레이더
- 비트코인
- probability
- 실시간시스템
- 프로그래밍
- Cloud
- 파이썬
- 암호화폐
- can
- 오토사
- 임베디드
- 아마존 웹 서비스
- TOEFL
- 자동차sw
- 토플
- AUTOSAR
- toefl writing
- Today
- Total
Leo's Garage
Priority-Driven Scheduling of Periodic Tasks (Dynamic Priority) - 2 본문
Priority-Driven Scheduling of Periodic Tasks (Dynamic Priority) - 2
LeoBehindK 2025. 6. 8. 23:11EDF with Practical Environment
EDF with deadlines less than the periods
$$D_i<p_i$$
$$\sum_{j=1}^{n}\frac{e_j+p_j-D_j}{p_j}\leq 1\,\,increase\,\,execution\,\,time$$
$$\sum_{j=1}^{n}\frac{e_j}{D_j}\leq 1\,\,\,decrease\,\,period$$
EDF with Non-preemptable Code Section
Low Priority의 NPS(Non-preemptable code section)은 High Priority Task를 Block한다.
$$b_i=max_{j=i+1}^{n}NPS\,\,\,D_i<D_k\,\,\,\,if\,\,\,\, i<k$$
1. $\sum_{j=1}^{n}\frac{e_j}{p_j}+\frac{b_i}{p_i}\leq 1 $ task by task check (only for task i)
2. $\sum_{j=1}^{n}\frac{e_j}{p_j}+max_{j=1}^{n}\frac{b_j}{p_j}\leq 1 $ single check (for all tasks)
EDF with Earlier Deadline and NPS
1. $\sum_{j=1}^{n}\frac{e_j}{min(D_j,p_j)}+\frac{b_i}{min(D_i,p_i)}\leq 1$ task by task check (only for task i)
2. $\sum_{j=1}^{n}\frac{e_j}{min(D_j,p_j)}+max_{j=1}^{n}\frac{b_i}{min(D_i,p_i)}\leq 1$ single check (for all tasks)
Precedence Constraints
- 선행 Job이 수행되어야지만, 다음 Job이 수행되는 관계
- 기본적으로 , 선행 관계가 있는 경우, 후행 작업은 선행 작업을 Preempt할 수 없다.

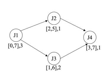
위와 같은 관계를 가진 Task Set이 있다고 하자.
$J_i=[r_i,d_i],e_i$: $r$: Release tiem, $d$: Deadline, $e$: Execution time
Effective Release Times
$r_b^*=max(r_b,r_a+C_a)$
Effective Deadlines
$d_a^*=min(d_a,d_b-C_b)$

위와 같이 Effective Release Time, Deadline으로 변경하면 선행 조건이 있더라도 EDF 하에서 Optimal하다.
Optimality of Effective EDF under Precedence Constraints
If there exists a feasible schedule(meet all release times, deadlines, precedence constraints), effective EDF schedule(EDF schedule with effective release tiems and deadlines) is also feasible
1. Effective EDF does not care about precedence constraints
- 실제 스케줄링 단계에서 precedence 제약은 고려하지 않음
- 대신 effective release time과 effective deadline을 조정함으로써 간접적 제약을 반영함
2. To show effective EDF Schedule is feasible
- 단순히 EDF로 스케줄했다고 해서 항상 feasible한 건 아님
- feasibility를 증명하려면, 모든 시간 조건과 의존성 관계가 충족됨을 보여야 한다.
'Study > Real Time Systems' 카테고리의 다른 글
| Scheduling of Aperiodic and Sporadic Jobs in Priority-Driven Systems (Fixed-Priority Framework) (0) | 2025.06.09 |
|---|---|
| WCET Analysis (1) | 2025.06.09 |
| Priority-Driven Scheduling of Periodic Tasks (Dynamic Priority) - 1 (1) | 2025.06.08 |
| Scheduler라는 개념은 왜 필요한가? (0) | 2025.05.12 |
| RTS 환경 하에 Mutex, Semaphore 그리고 Spinlock 비교 (0) | 2025.04.22 |
