반응형
250x250
Notice
Recent Posts
Recent Comments
Link
| 일 | 월 | 화 | 수 | 목 | 금 | 토 |
|---|---|---|---|---|---|---|
| 1 | 2 | 3 | 4 | |||
| 5 | 6 | 7 | 8 | 9 | 10 | 11 |
| 12 | 13 | 14 | 15 | 16 | 17 | 18 |
| 19 | 20 | 21 | 22 | 23 | 24 | 25 |
| 26 | 27 | 28 | 29 | 30 |
Tags
- 토플
- it
- 백트레이더
- 토플 라이팅
- realtimesystem
- AWS
- 오토사
- 암호화폐
- 개발자
- 블록체인
- 확률
- python
- AUTOSAR
- toefl writing
- 비트코인
- GeorgiaTech
- backtrader
- 프로그래밍
- 퀀트
- 자동매매
- 임베디드
- probability
- 클라우드
- 자동차sw
- TOEFL
- Cloud
- 아마존 웹 서비스
- can
- 실시간시스템
- 파이썬
Archives
- Today
- Total
Leo's Garage
Probability and Statistics II: Random Variables – Great Expectations to Bell Curves - 26 본문
Study/GTx
Probability and Statistics II: Random Variables – Great Expectations to Bell Curves - 26
LeoBehindK 2023. 12. 27. 23:56728x90
반응형
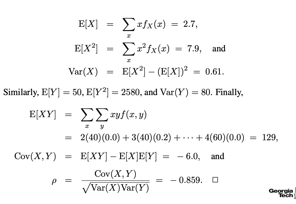
A Couple of Worked Correlation Examples




728x90
반응형
