반응형
250x250
Notice
Recent Posts
Recent Comments
Link
| 일 | 월 | 화 | 수 | 목 | 금 | 토 |
|---|---|---|---|---|---|---|
| 1 | 2 | 3 | 4 | |||
| 5 | 6 | 7 | 8 | 9 | 10 | 11 |
| 12 | 13 | 14 | 15 | 16 | 17 | 18 |
| 19 | 20 | 21 | 22 | 23 | 24 | 25 |
| 26 | 27 | 28 | 29 | 30 |
Tags
- 비트코인
- AUTOSAR
- 자동차sw
- 확률
- 프로그래밍
- can
- 블록체인
- 클라우드
- 암호화폐
- 토플 라이팅
- 자동매매
- 아마존 웹 서비스
- 임베디드
- Cloud
- 백트레이더
- 파이썬
- 실시간시스템
- AWS
- python
- backtrader
- 오토사
- toefl writing
- 개발자
- GeorgiaTech
- 퀀트
- TOEFL
- 토플
- probability
- it
- realtimesystem
Archives
- Today
- Total
Leo's Garage
Probability and Statistics II: Random Variables – Great Expectations to Bell Curves - 27 본문
Study/GTx
Probability and Statistics II: Random Variables – Great Expectations to Bell Curves - 27
LeoBehindK 2023. 12. 28. 00:10728x90
반응형
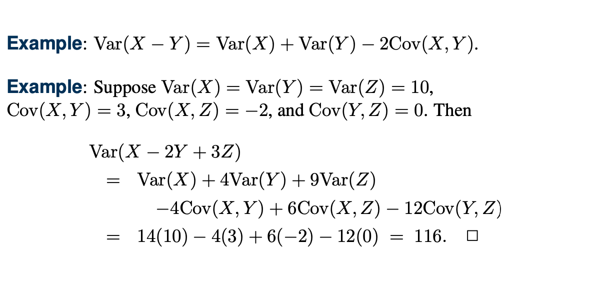
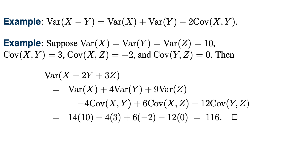
Some Useful Covariance / Correlation Theorems

Var(X + Y) = E[(X + Y)^2] - (E[X + Y])^2를 이용해서 전개할 수 있다.

기본적으로 각 RV 자체의 Variance를 구하고, 서로 다른 두 RV간의 Covariance도 계산하여 더한다.
기본저적으로 Var(X) + Var(Y) + 2Cov(X,Y)를 n개로 확장 전개한 것으로 이해하면된다.

Cov 내에 각 RV의 비례상수의 경우 Cov 계산 시 밖으로 빼서 곱할 수 있다.
n개의 RV에 대한 Variance를 계산할 때도 위와 같이 응용할 수 있다.

728x90
반응형
