반응형
250x250
Notice
Recent Posts
Recent Comments
Link
| 일 | 월 | 화 | 수 | 목 | 금 | 토 |
|---|---|---|---|---|---|---|
| 1 | 2 | 3 | 4 | 5 | 6 | 7 |
| 8 | 9 | 10 | 11 | 12 | 13 | 14 |
| 15 | 16 | 17 | 18 | 19 | 20 | 21 |
| 22 | 23 | 24 | 25 | 26 | 27 | 28 |
Tags
- 프로그래밍
- 암호화폐
- TOEFL
- 자동차sw
- AWS
- 퀀트
- probability
- 블록체인
- 오토사
- backtrader
- 임베디드
- 자동매매
- 토플
- can
- 백트레이더
- 비트코인
- GeorgiaTech
- 토플 라이팅
- 아마존 웹 서비스
- 실시간시스템
- 확률
- 개발자
- 파이썬
- it
- 클라우드
- realtimesystem
- python
- Cloud
- toefl writing
- AUTOSAR
Archives
- Today
- Total
Leo's Garage
Probability and Statistics II: Random Variables – Great Expectations to Bell Curves - 10 본문
Study/GTx
Probability and Statistics II: Random Variables – Great Expectations to Bell Curves - 10
LeoBehindK 2023. 12. 23. 18:15728x90
반응형
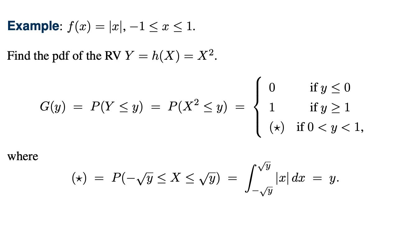
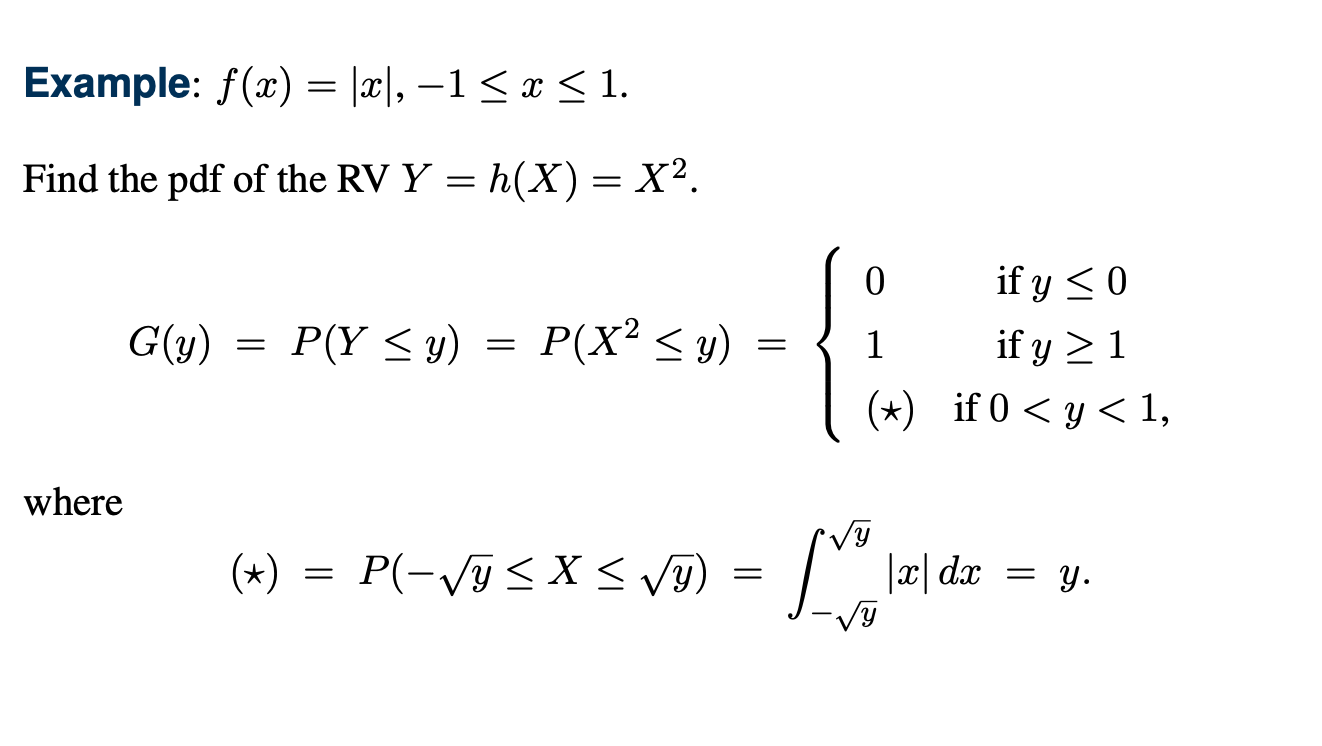
Functions of a Random Variable

우리가 어떤 확률변수 X에 대한 pmf/pdf를 알고 있다고 하자.
이 때 어떤 확률변수 Y = h(X)에 대한 pmf/pdf를 구해보자.
LOTUS를 사용하면 E[h(X)]를 구할 수 있다.
하지만 우리는 단순히 기댓값을 구하려는 것이 아니라 h(x)의 전체 분포를 얻고자 하는 것이다.
pdf의 경우는 아래와 같다.


pmf case 는 아래와 같다.



728x90
반응형