반응형
250x250
Notice
Recent Posts
Recent Comments
Link
| 일 | 월 | 화 | 수 | 목 | 금 | 토 |
|---|---|---|---|---|---|---|
| 1 | 2 | 3 | 4 | 5 | 6 | 7 |
| 8 | 9 | 10 | 11 | 12 | 13 | 14 |
| 15 | 16 | 17 | 18 | 19 | 20 | 21 |
| 22 | 23 | 24 | 25 | 26 | 27 | 28 |
| 29 | 30 | 31 |
Tags
- 백트레이더
- TOEFL
- 암호화폐
- probability
- 개발자
- python
- backtrader
- 확률
- it
- 비트코인
- can
- 토플 라이팅
- AUTOSAR
- Cloud
- 실시간시스템
- toefl writing
- 오토사
- 프로그래밍
- 임베디드
- 블록체인
- GeorgiaTech
- 자동차sw
- 아마존 웹 서비스
- AWS
- 퀀트
- 자동매매
- 클라우드
- realtimesystem
- 토플
- 파이썬
Archives
- Today
- Total
Leo's Garage
Probability and Statistics II: Random Variables – Great Expectations to Bell Curves - 8 본문
Study/GTx
Probability and Statistics II: Random Variables – Great Expectations to Bell Curves - 8
LeoBehindK 2023. 12. 23. 17:38728x90
반응형
Moment Generating Functions

여기서 중요한 건 Mx(t)는 X의 함수가 아니다. t에 대한 함수이다.
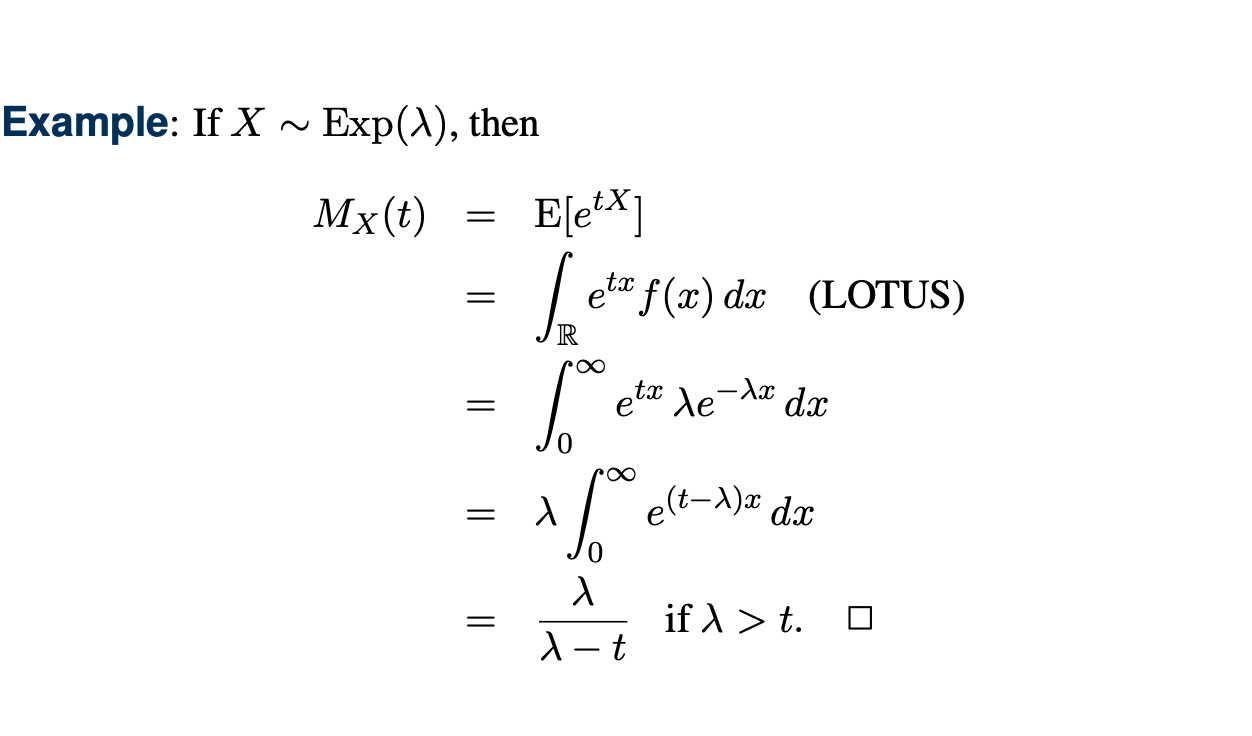
예제는 X가 베르누이 분포일 때, mgf(moment generating function)을 구하면 위와 같다는 의미이다.


위의 수식 증명은 아래와 같다.

우리는 이러한 mgf를 이용해서 여러가지 응용을 할 수 있는데,



만약에 같은 mgf를 가지는 서로 다른 두 개의 확률변수가 있다면, 이들은 서로 같은 분포를 가지게 된다.
따라서 하나의 mgf는 하나의 확률분포에 대응된다.
728x90
반응형