반응형
250x250
Notice
Recent Posts
Recent Comments
Link
| 일 | 월 | 화 | 수 | 목 | 금 | 토 |
|---|---|---|---|---|---|---|
| 1 | 2 | 3 | 4 | 5 | 6 | 7 |
| 8 | 9 | 10 | 11 | 12 | 13 | 14 |
| 15 | 16 | 17 | 18 | 19 | 20 | 21 |
| 22 | 23 | 24 | 25 | 26 | 27 | 28 |
| 29 | 30 | 31 |
Tags
- can
- it
- AUTOSAR
- TOEFL
- 자동매매
- 자동차sw
- 파이썬
- AWS
- 프로그래밍
- 비트코인
- 임베디드
- realtimesystem
- GeorgiaTech
- python
- 개발자
- 아마존 웹 서비스
- 실시간시스템
- 오토사
- 확률
- 블록체인
- 토플 라이팅
- 토플
- Cloud
- 퀀트
- backtrader
- 백트레이더
- 암호화폐
- probability
- 클라우드
- toefl writing
Archives
- Today
- Total
Leo's Garage
Probability and Statistics II: Random Variables – Great Expectations to Bell Curves - 13 본문
Study/GTx
Probability and Statistics II: Random Variables – Great Expectations to Bell Curves - 13
LeoBehindK 2023. 12. 23. 20:17728x90
반응형
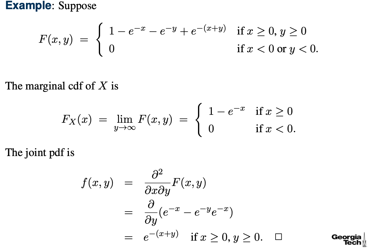
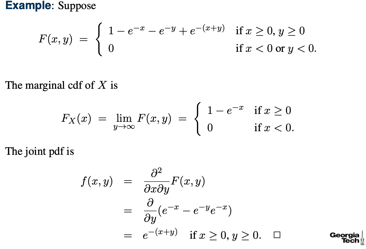
Bivariate or joint random variables
2개의 랜덤 변수를 동시에 고려하면 무슨일이 생길까?
한 사람을 무작위로 고르자. 그리고 그의 키와 몸무게를 (X,Y)라고 하자.







말 그대로 cdf를 두 가지 랜덤변수에 대해서 구하는 것이다.
차원이 하나 늘었다고 생각하면 된다.


728x90
반응형